Упражнение 3.7 ГДЗ Дорофеев Суворова 7 класс (Алгебра)
Приведите три числовых примера, иллюстрирующих буквенное равенство: а) y/y = 1; б) a + (-а) = 0; в) —(—x) = х.

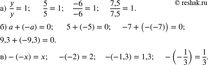
Ниже вариант решения задания из учебника Дорофеев, Суворова, Бунимович 7 класс, Просвещение:
Приведите три числовых примера, иллюстрирующих буквенное равенство:
а) y/y = 1;
б) a + (-а) = 0;
в) —(—x) = х.
