Упражнение 3.10 ГДЗ Дорофеев Суворова 7 класс (Алгебра)
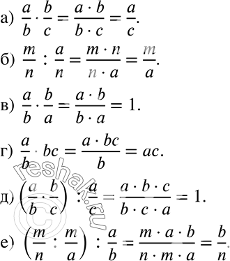
Выполните действия с дробями, записанными в буквенном виде: а) a/b * b/c; б) m/n : a/n; в) a/b * b/a; г) a/b * bc;

Ниже вариант решения задания из учебника Дорофеев, Суворова, Бунимович 7 класс, Просвещение:
Выполните действия с дробями, записанными в буквенном виде:
а) a/b * b/c;
б) m/n : a/n;
в) a/b * b/a;
г) a/b * bc;
д) (a/b * b/c) : a/c;
е) (m/n : m/a) : a/b.
