Упражнение 3.9 ГДЗ Дорофеев Суворова 7 класс (Алгебра)
Запишите с помощью букв правило, которое зашифровано данными равенствами: а) 1/7 + 3/7= (1+3)/7, 2/11 + 6/11 = (2+6)/11, 3/2 + 9/2 = (3+9)/2;

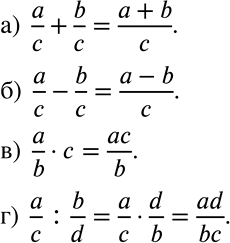
Ниже вариант решения задания из учебника Дорофеев, Суворова, Бунимович 7 класс, Просвещение:
Запишите с помощью букв правило, которое зашифровано данными равенствами:
а) 1/7 + 3/7= (1+3)/7,
2/11 + 6/11 = (2+6)/11,
3/2 + 9/2 = (3+9)/2;
б) 2/3 - 1/3 = (2-1)/3,
5/12 - 8/12 = (5-8)/12,
3/5 - 1/5 = (3-1)/5;
в) 2/3 * 4 = (2*4)/3,
5/8 * 13 = (5(13)/8,
4/3 * 12 = (4*12)/3;
г) 3/4 : 5/7 = (3*7)/(4*5),
1/2 : 1/3 = (1*3)/(2*1),
11/5 : 2/9 = (11*9/)/(5*2).
