Упражнение 3.75 ГДЗ Дорофеев Суворова 7 класс (Алгебра)
Упростите: а) b(, - 7) - 7b; б) х(с + 1) + с(х - 1); в) у(х - 4) + х(3 - у);

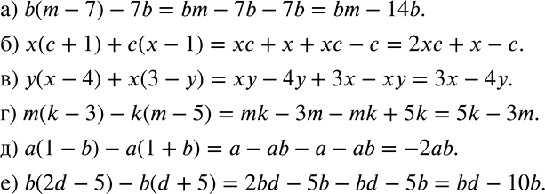
Ниже вариант решения задания из учебника Дорофеев, Суворова, Бунимович 7 класс, Просвещение:
Упростите:
а) b(, - 7) - 7b;
б) х(с + 1) + с(х - 1);
в) у(х - 4) + х(3 - у);
г) m(k - 3) - k(m - 5);
д) а(1 — b) — а(1 + b);
е) b(2d - 5) - b(d + 5).
