Упражнение 3.72 ГДЗ Дорофеев Суворова 7 класс (Алгебра)
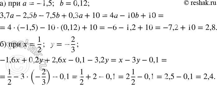
Упростите выражение и найдите его значение при указанных значениях букв: а) 3,7а - 2,5b - 7,5b + 0,3а + 10 при а = -1,5, b = 0,12;

Ниже вариант решения задания из учебника Дорофеев, Суворова, Бунимович 7 класс, Просвещение:
Упростите выражение и найдите его значение при указанных значениях букв:
а) 3,7а - 2,5b - 7,5b + 0,3а + 10 при а = -1,5, b = 0,12;
б) -1,6х + 0,2у + 2,6х - 0,1 - 3,2у при х = 1/2, y = -2/3.
