Упражнение 3.73 ГДЗ Дорофеев Суворова 7 класс (Алгебра)
Раскройте скобки и упростите выражение: а) (2у + z) - (z - 2у); б) (х + 3) — (5х - 7);

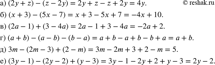
Ниже вариант решения задания из учебника Дорофеев, Суворова, Бунимович 7 класс, Просвещение:
Раскройте скобки и упростите выражение:
а) (2у + z) - (z - 2у);
б) (х + 3) — (5х - 7);
в) (2а - 1) + (3 - 4а);
г) (а + b) - (а - b) - (b - а);
д) 3m - (2m - 3) + (2 - m);
е) (Зу - 1) - (2у - 2) + (у - 3).
