Упражнение 3.71 ГДЗ Дорофеев Суворова 7 класс (Алгебра)
Упростите: а) 2ab - 3ba + 5a - а; б) abc + bca + cab; в) xy - x + у - ух;

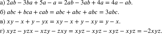
Ниже вариант решения задания из учебника Дорофеев, Суворова, Бунимович 7 класс, Просвещение:
Упростите:
а) 2ab - 3ba + 5a - а;
б) abc + bca + cab;
в) xy - x + у - ух;
г) xyz - yzx - xzy - zxy.
