Упражнение 3.81 ГДЗ Дорофеев Суворова 7 класс (Алгебра)
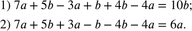
Рассуждаем Учащиеся выполняли на доске упражнения на приведение подобных слагаемых и затем стёрли знаки между слагаемыми. Восстановите запись: 7а 5b За b 4b 4а = 10b;

Ниже вариант решения задания из учебника Дорофеев, Суворова, Бунимович 7 класс, Просвещение:
Рассуждаем Учащиеся выполняли на доске упражнения на приведение подобных слагаемых и затем стёрли знаки между слагаемыми.
Восстановите запись:
7а 5b За b 4b 4а = 10b;
7а 5b За b 4b 4а = 6а.
