Упражнение 3.83 ГДЗ Дорофеев Суворова 7 класс (Алгебра)
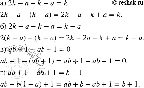
Рассуждаем Расставьте скобки так, чтобы путём преобразования левой части равенства можно было получить правую часть: а) 2k-a-k-a = k; б) 2k - a - k - a = k - a;

Ниже вариант решения задания из учебника Дорофеев, Суворова, Бунимович 7 класс, Просвещение:
Рассуждаем Расставьте скобки так, чтобы путём преобразования левой части равенства можно было получить правую часть:
а) 2k-a-k-a = k;
б) 2k - a - k - a = k - a;
в) ab + 1 - ab + 1 = 0;
г) ab + 1 - ab + l = b + 1.
