Упражнение 3.84 ГДЗ Дорофеев Суворова 7 класс (Алгебра)
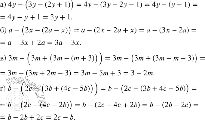
Раскройте скобки: а) 4у - (3у - (2у + 1)); б) a - (2x - (2a - x)); в) 3m - (3m + (3m - (m + 3)));

Ниже вариант решения задания из учебника Дорофеев, Суворова, Бунимович 7 класс, Просвещение:
Раскройте скобки:
а) 4у - (3у - (2у + 1));
б) a - (2x - (2a - x));
в) 3m - (3m + (3m - (m + 3)));
г) b - (2c - (3b + (4c - 5b))).
