Упражнение 3.82 ГДЗ Дорофеев Суворова 7 класс (Алгебра)
Упростите выражение: а) a(b + 3) + b(a + 3) - 3(а + b); б) 2(х - у) + 6(у - х) - (4х - 4у);

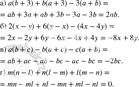
Ниже вариант решения задания из учебника Дорофеев, Суворова, Бунимович 7 класс, Просвещение:
Упростите выражение:
а) a(b + 3) + b(a + 3) - 3(а + b);
б) 2(х - у) + 6(у - х) - (4х - 4у);
в) a(b + с) - b(a + с) - с(а + b);
г) m(n - l) + n(l - m) + l(m - n).
