Упражнение 6.165 ГДЗ Дорофеев Суворова 7 класс (Алгебра)
Найдите значение выражения х2 + 1/x2, если: а) х + 1/x = 2,5; б) х - 1/x = 2. *Цитирирование задания со ссылкой на учебник производится исключительно в учебных целях для лучшего понимания разбора решения задания.

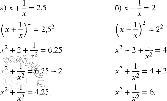
Ниже вариант решения задания из учебника Дорофеев, Суворова, Бунимович 7 класс, Просвещение:
Найдите значение выражения х2 + 1/x2, если:
а) х + 1/x = 2,5;
б) х - 1/x = 2.
