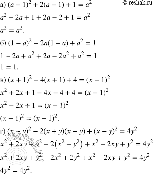
Упражнение 6.161 ГДЗ Дорофеев Суворова 7 класс (Алгебра)
Докажите равенство: а) (а - 1)2 + 2(а - 1) + 1 = а2; б) (1 - а)2 + 2а(1 - а) + а2 = 1;

Ниже вариант решения задания из учебника Дорофеев, Суворова, Бунимович 7 класс, Просвещение:
Докажите равенство:
а) (а - 1)2 + 2(а - 1) + 1 = а2;
б) (1 - а)2 + 2а(1 - а) + а2 = 1;
в) (x + 1)2 - (x + 1) + 4 = (х - 1)2;
г) (х + у)2 - 2(х + у)(х - у) + (х - у)2 = 4у2.
