Упражнение 6.163 ГДЗ Дорофеев Суворова 7 класс (Алгебра)
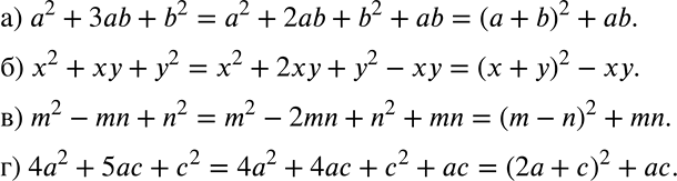
а) а2 + 3ab + b2; б) х2 + ху + у2; в) m2 - mn + n2; г) 4а2 + 5ас + с2.

Ниже вариант решения задания из учебника Дорофеев, Суворова, Бунимович 7 класс, Просвещение:
а) а2 + 3ab + b2;
б) х2 + ху + у2;
в) m2 - mn + n2;
г) 4а2 + 5ас + с2.
