Упражнение 6.166 ГДЗ Дорофеев Суворова 7 класс (Алгебра)
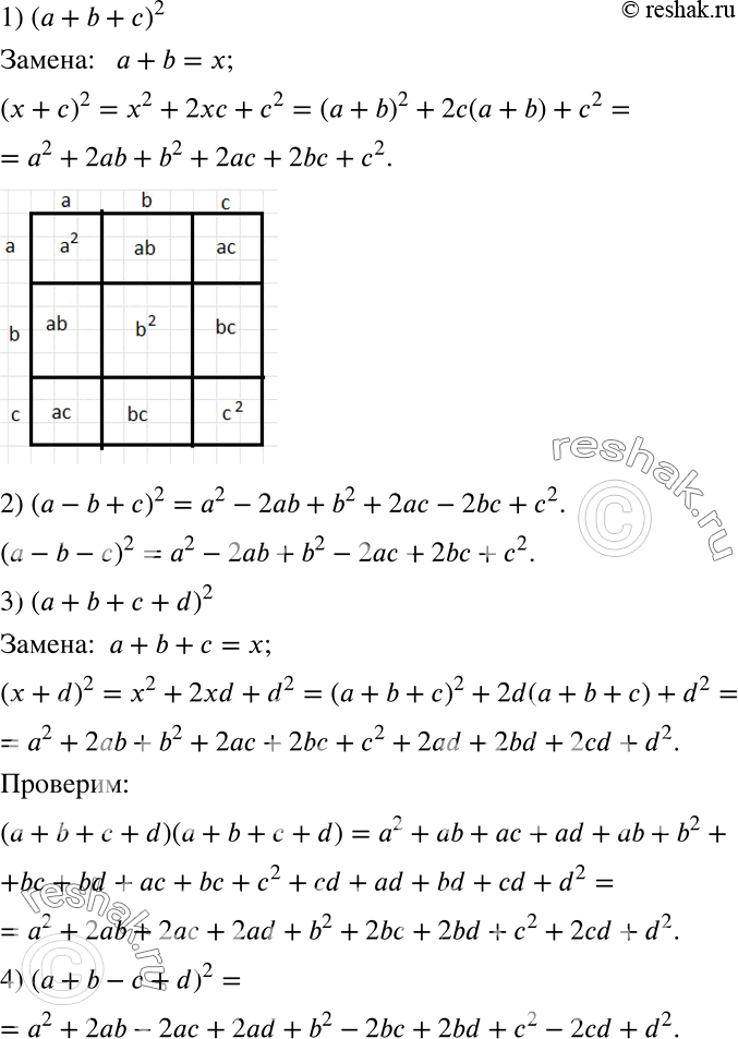
Исследуем 1) Используя формулу квадрата двучлена, возведите в квадрат трёхчлен а + b + с. (Указание. Сделайте замену а + b = х.) Проиллюстрируйте полученное равенство геометрически, изобразив квадрат со стороной а + b + с.

Ниже вариант решения задания из учебника Дорофеев, Суворова, Бунимович 7 класс, Просвещение:
Исследуем 1) Используя формулу квадрата двучлена, возведите в квадрат трёхчлен а + b + с. (Указание. Сделайте замену а + b = х.) Проиллюстрируйте полученное равенство геометрически, изобразив квадрат со стороной а + b + с.
2) С помощью полученной формулы возведите в квадрат:
а - b + с; а - b - с.
3) По аналогии с формулой, полученной в п. 1, запишите формулу для преобразования в многочлен выражения (а + b + с + d)2. Проверьте с помощью умножения, верно ли записанное равенство.
4) Пользуясь выведенной формулой, возведите в квадрат
а + b - с + d.
