Упражнение 6.195 ГДЗ Дорофеев Суворова 7 класс (Алгебра)
Каждое из чисел а и b при делении на 3 даёт в остатке 1. Докажите, что их произведение при делении на 3 также даёт в остатке 1.

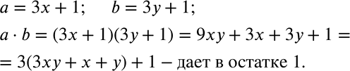
Ниже вариант решения задания из учебника Дорофеев, Суворова, Бунимович 7 класс, Просвещение:
Каждое из чисел а и b при делении на 3 даёт в остатке 1. Докажите, что их произведение при делении на 3 также даёт в остатке 1.
