Упражнение 6.196 ГДЗ Дорофеев Суворова 7 класс (Алгебра)
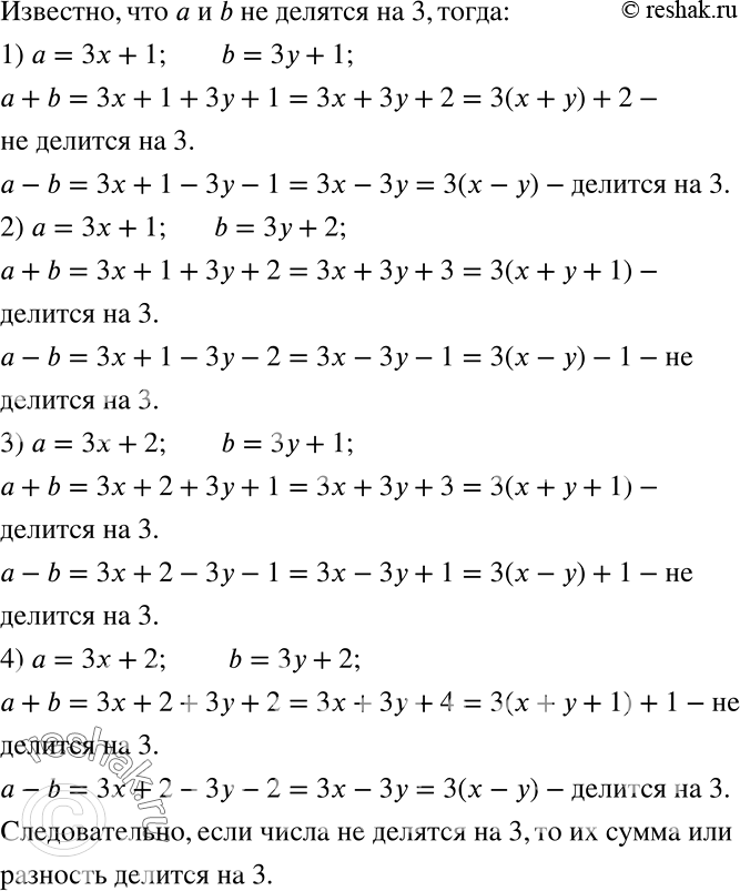
Докажите, что если числа а и b не делятся на 3, то либо их сумма, либо их разность делится на 3.

Ниже вариант решения задания из учебника Дорофеев, Суворова, Бунимович 7 класс, Просвещение:
Докажите, что если числа а и b не делятся на 3, то либо их сумма, либо их разность делится на 3.
