Упражнение 6.43 ГДЗ Дорофеев Суворова 7 класс (Алгебра)
Представьте в стандартном виде многочлен: а) 6а * 0,5 - 3а * 2х + 2а * 7а; б) 8х2 - 4х + х + 1.

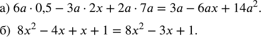
Ниже вариант решения задания из учебника Дорофеев, Суворова, Бунимович 7 класс, Просвещение:
Представьте в стандартном виде многочлен:
а) 6а * 0,5 - 3а * 2х + 2а * 7а;
б) 8х2 - 4х + х + 1.
