Упражнение 6.39 ГДЗ Дорофеев Суворова 7 класс (Алгебра)
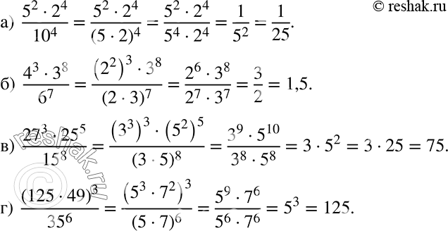
Найдите значение выражения: а) (5^2 * 2^4)/10^4; б) (4^3 * 3^8)/6^7; в) (27^3 * 25^5)/15^8; г) (125 * 49)3/35^6. *Цитирирование задания со ссылкой на учебник производится исключительно в учебных целях для лучшего понимания разбора решения задания.

Ниже вариант решения задания из учебника Дорофеев, Суворова, Бунимович 7 класс, Просвещение:
Найдите значение выражения:
а) (5^2 * 2^4)/10^4;
б) (4^3 * 3^8)/6^7;
в) (27^3 * 25^5)/15^8;
г) (125 * 49)3/35^6.
