Упражнение 6.40 ГДЗ Дорофеев Суворова 7 класс (Алгебра)
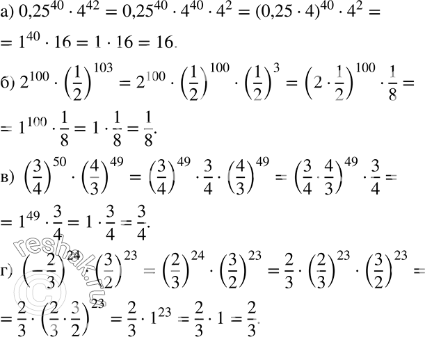
Ищем способ решения Вычислите: а) 0,25^40 * 4^12; б) 2^100 * (1/2)103; в) (3/4) * (4/3)49; г) (-2/3)24 * (3/2)23. *Цитирирование задания со ссылкой на учебник производится исключительно в учебных целях для лучшего понимания разбора решения задания.

Ниже вариант решения задания из учебника Дорофеев, Суворова, Бунимович 7 класс, Просвещение:
Ищем способ решения Вычислите:
а) 0,25^40 * 4^12;
б) 2^100 * (1/2)103;
в) (3/4) * (4/3)49;
г) (-2/3)24 * (3/2)23.
