Упражнение 6.63 ГДЗ Дорофеев Суворова 7 класс (Алгебра)
Действуем по правилу (654—657) 654 Выполните сложение: а) (3а2- 2а)4- (-а2 + 3а); б) (6с2- 2cd) +(10с2 + 18cd); в) (14mn- 15m) + (-15mn- 14m);

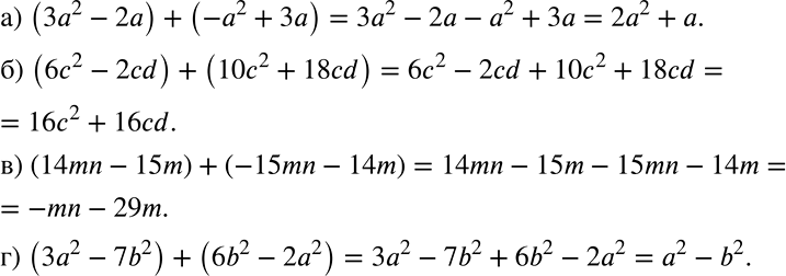
Ниже вариант решения задания из учебника Дорофеев, Суворова, Бунимович 7 класс, Просвещение:
Действуем по правилу (654—657)
654 Выполните сложение:
а) (3а2- 2а)4- (-а2 + 3а);
б) (6с2- 2cd) +(10с2 + 18cd);
в) (14mn- 15m) + (-15mn- 14m);
г) (3а2 - 7b2) + (6b2 - 2а2).
