Упражнение 7.27 ГДЗ Дорофеев Суворова 7 класс (Алгебра)
Разложите на множители: а) 3а + 3b + с(а + b); б) 2(m + n) + km + km; в) by + 4(х + у) + bх;

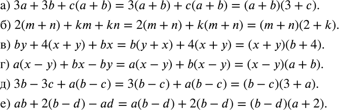
Ниже вариант решения задания из учебника Дорофеев, Суворова, Бунимович 7 класс, Просвещение:
Разложите на множители:
а) 3а + 3b + с(а + b);
б) 2(m + n) + km + km;
в) by + 4(х + у) + bх;
г) а(х - у) + bx - by;
д) 3b - 3с + а(b - с);
е) аb + 2(b - d) - ad.
