Упражнение 7.23 ГДЗ Дорофеев Суворова 7 класс (Алгебра)
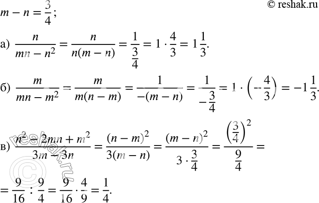
Известно, что m - n = 3/4. Чему равно значение выражения: а) n/(mn-n2); б) m/(mn-m2); в) (n2 - 2n + m2)/(3m - 3n)?

Ниже вариант решения задания из учебника Дорофеев, Суворова, Бунимович 7 класс, Просвещение:
Известно, что m - n = 3/4. Чему равно значение выражения:
а) n/(mn-n2);
б) m/(mn-m2);
в) (n2 - 2n + m2)/(3m - 3n)?
