Упражнение 7.24 ГДЗ Дорофеев Суворова 7 класс (Алгебра)
Разбираем способ решения Чтобы использовать калькулятор для вычисления значения многочлена 4,5x3 - 7х2 + 2х - 2,5, этот многочлен удобно представить в таком виде:

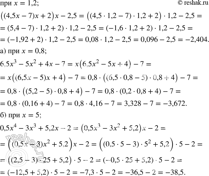
Ниже вариант решения задания из учебника Дорофеев, Суворова, Бунимович 7 класс, Просвещение:
Разбираем способ решения Чтобы использовать калькулятор для вычисления значения многочлена
4,5x3 - 7х2 + 2х - 2,5,
этот многочлен удобно представить в таком виде:
4,5x3 - 7х2 + 2х - 2,5 = (4,5c2 - 7х + 2)х - 2,5 = ((4,5c - 7)х + 2)х - 2,5.
Выполните вычисления для x = 1,2.
Используя рассмотренный способ, найдите значение выражения:
а) 6,5x3 - 5x2 + 4х - 7 при x = 0,8;
б) 0,5x4 - 3x3 + 5,2x - 2 при x = 5.
