Упражнение 7.26 ГДЗ Дорофеев Суворова 7 класс (Алгебра)
Представьте выражение в виде произведения: а) 2х(х - у) + 3у(х - у); б) a(a + b) - 5b(a + b);

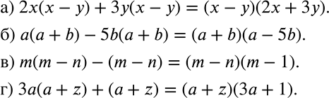
Ниже вариант решения задания из учебника Дорофеев, Суворова, Бунимович 7 класс, Просвещение:
Представьте выражение в виде произведения:
а) 2х(х - у) + 3у(х - у);
б) a(a + b) - 5b(a + b);
в) m(m - n) - (m - n);
г) 3а(а + z) + (а + z).
