Упражнение 7.92 ГДЗ Дорофеев Суворова 7 класс (Алгебра)
Решите уравнение (902—905). 902 а) 3х2 + 15х = 0; б) 9у - у2 = 0; в) -2х2 - 4х = 0;

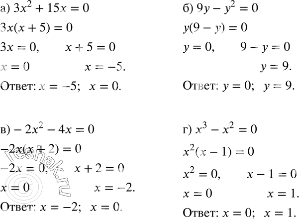
Ниже вариант решения задания из учебника Дорофеев, Суворова, Бунимович 7 класс, Просвещение:
Решите уравнение (902—905).
902 а) 3х2 + 15х = 0;
б) 9у - у2 = 0;
в) -2х2 - 4х = 0;
г) x3 - x2 = 0.
