Упражнение 7.90 ГДЗ Дорофеев Суворова 7 класс (Алгебра)
Является ли корнем уравнения (х + 8)(2х - 6) = 0 число: 0; -3; 3; -5; 5; -8; 8? *Цитирирование задания со ссылкой на учебник производится исключительно в учебных целях для лучшего понимания разбора решения задания.

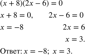
Ниже вариант решения задания из учебника Дорофеев, Суворова, Бунимович 7 класс, Просвещение:
Является ли корнем уравнения (х + 8)(2х - 6) = 0 число: 0; -3; 3; -5; 5; -8; 8?
