Упражнение 7.96 ГДЗ Дорофеев Суворова 7 класс (Алгебра)
Найдите корни уравнения подбором, а затем решите это уравнение, применив разложение на множители: а) y2 = y; б) а3 = а;

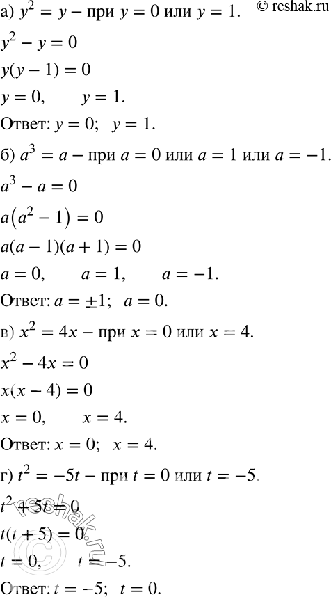
Ниже вариант решения задания из учебника Дорофеев, Суворова, Бунимович 7 класс, Просвещение:
Найдите корни уравнения подбором, а затем решите это уравнение, применив разложение на множители:
а) y2 = y;
б) а3 = а;
в) х2 = 4х;
г) t2 = -5t.
