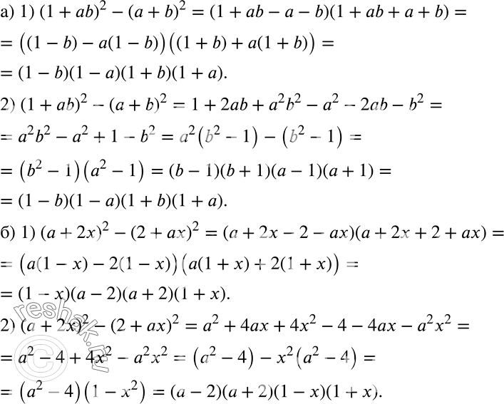
Упражнение 7.87 ГДЗ Дорофеев Суворова 7 класс (Алгебра)
Разложите выражение на множители двумя способами: 1) применив формулу разности квадратов; 2) раскрыв скобки и затем применив группировку: а) (1 + ab)2 - (a + b)2;

Ниже вариант решения задания из учебника Дорофеев, Суворова, Бунимович 7 класс, Просвещение:
Разложите выражение на множители двумя способами:
1) применив формулу разности квадратов;
2) раскрыв скобки и затем применив группировку:
а) (1 + ab)2 - (a + b)2;
б) (а + 2x)2 - (2 + ах)2.
