Упражнение 7.98 ГДЗ Дорофеев Суворова 7 класс (Алгебра)
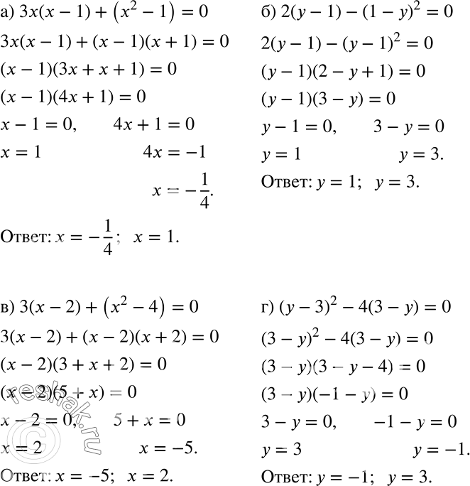
а) 3х(х - 1) + (х2 - 1) = 0; б) 2(у - 1) - (1 - у)2 = 0; в) 3(х - 2) + (х2 - 4) = 0;

Ниже вариант решения задания из учебника Дорофеев, Суворова, Бунимович 7 класс, Просвещение:
а) 3х(х - 1) + (х2 - 1) = 0;
б) 2(у - 1) - (1 - у)2 = 0;
в) 3(х - 2) + (х2 - 4) = 0;
г) (у - 3)2 - 4(3 - у) = 0.
