Упражнение 7.99 ГДЗ Дорофеев Суворова 7 класс (Алгебра)
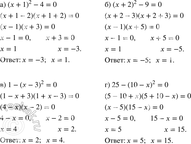
Решите уравнение: а) (х + 1)2 - 4 = 0; б) (х + 2)2 - 9 = 0; в) 1 — (х — 3)2 = 0;

Ниже вариант решения задания из учебника Дорофеев, Суворова, Бунимович 7 класс, Просвещение:
Решите уравнение:
а) (х + 1)2 - 4 = 0;
б) (х + 2)2 - 9 = 0;
в) 1 — (х — 3)2 = 0;
г) 25 - (10 - х)2= 0.
