Упражнение 133 ГДЗ Колягин Ткачёва 7 класс (Алгебра)
Найти число, если: 1) 28 % этого числа на 45 больше его 13 %; 2) 56 % этого числа на 6,6 меньше его 23 %.


Ниже вариант решения задания из учебника Колягин, Ткачёва, Фёдорова 7 класс, Просвещение:
Найти число, если:
1) 28 % этого числа на 45 больше его 13 %;
2) 56 % этого числа на 6,6 меньше его 23 %.
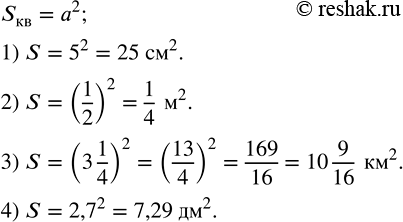
Вычислить площадь квадрата со стороной, равной:
1) 5 см; 2) 1/2 м; 3) 3 1/4 км; 4) 2,7 дм.
