Упражнение 137 ГДЗ Колягин Ткачёва 7 класс (Алгебра)
Груши при сушке теряют 85 % своей массы. Сколько нужно взять свежих груш, чтобы получить 30 кг сушёных? Упростить выражение, используя запись произведения в виде степени:


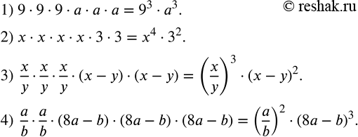
Ниже вариант решения задания из учебника Колягин, Ткачёва, Фёдорова 7 класс, Просвещение:
Груши при сушке теряют 85 % своей массы. Сколько нужно взять свежих груш, чтобы получить 30 кг сушёных?
Упростить выражение, используя запись произведения в виде степени:
1) 9•9•9•a•a•a;
2) x•x•x•x•3•3;
3) x/y•x/y•x/y•(x-y)•(x-y);
4) a/b•a/b•(8a-b)•(8a-b)•(8a-b).
