Упражнение 136 ГДЗ Колягин Ткачёва 7 класс (Алгебра)
После повышения зарплаты на 17 % служащий стал получать 23 751 р. Какова была его зарплата до повышения? Упростить выражение, используя запись произведения в виде степени:


Ниже вариант решения задания из учебника Колягин, Ткачёва, Фёдорова 7 класс, Просвещение:
После повышения зарплаты на 17 % служащий стал получать 23 751 р. Какова была его зарплата до повышения?
Упростить выражение, используя запись произведения в виде степени:
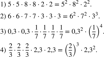
1) 5•5•8•8•2•2;
2) 6•6•7•7•3•3•3;
3) 0,3•0,3•1/7•1/7•1/7•1/7;
4) 2/3•2/3•2/3•2,3•2,3.
