Упражнение 143 ГДЗ Колягин Ткачёва 7 класс (Алгебра)
Для приготовления бетона взяли 1 ц цемента, 2 ц песка и 6 ц щебня. Каково процентное содержание составных частей этого бетона?


Ниже вариант решения задания из учебника Колягин, Ткачёва, Фёдорова 7 класс, Просвещение:
Для приготовления бетона взяли 1 ц цемента, 2 ц песка и 6 ц щебня. Каково процентное содержание составных частей этого бетона?
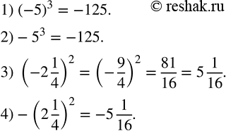
Вычислить:
1) (-5)^3;
2) -5^3;
3) (-2 1/4)^2;
4) -(2 1/4)^2.
