Упражнение 146 ГДЗ Колягин Ткачёва 7 класс (Алгебра)
Записать число, обратное и противоположное данному: 5/8; -1 2/7; -2 1/12; 0,3; 5,1; -3,6.Выполнить действия: 1) 12•?10?^2-5^3•10; 2) 9^2•2+200•(0,1)^2; 3) (1/3)^4•27+(0,1)^5•50 000;


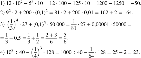
Ниже вариант решения задания из учебника Колягин, Ткачёва, Фёдорова 7 класс, Просвещение:
Записать число, обратное и противоположное данному: 5/8; -1 2/7; -2 1/12; 0,3; 5,1; -3,6.
Выполнить действия:
1) 12•?10?^2-5^3•10;
2) 9^2•2+200•(0,1)^2;
3) (1/3)^4•27+(0,1)^5•50 000;
4) ?10?^3 :40-(1/4)^3•128.
