Упражнение 141 ГДЗ Колягин Ткачёва 7 класс (Алгебра)
Сколько процентов от 71,5 м^3 составляют 14,3 м^3; 101,1 дм^3? Вычислить: 1) 2^3; 2) 3^2; 3) ?10?^4; 4) 5^3. *Цитирирование задания со ссылкой на учебник производится исключительно в учебных целях для лучшего понимания разбора решения задания.


Ниже вариант решения задания из учебника Колягин, Ткачёва, Фёдорова 7 класс, Просвещение:
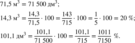
Сколько процентов от 71,5 м^3 составляют 14,3 м^3; 101,1 дм^3?
Вычислить:
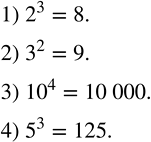
1) 2^3;
2) 3^2;
3) ?10?^4;
4) 5^3.
