Упражнение 144 ГДЗ Колягин Ткачёва 7 класс (Алгебра)
Девушка купила куртку за 902,5 р. Сколько процентов скидки сделал магазин, если реальная цена куртки была 950 р.? Вычислить: 1) (2/3)^3;


Ниже вариант решения задания из учебника Колягин, Ткачёва, Фёдорова 7 класс, Просвещение:
Девушка купила куртку за 902,5 р. Сколько процентов скидки сделал магазин, если реальная цена куртки была 950 р.?
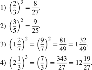
Вычислить:
1) (2/3)^3;
2) (3/5)^2;
3) (1 2/7)^2;
4) (2 1/3)^3.
