Упражнение 160 ГДЗ Колягин Ткачёва 7 класс (Алгебра)
Решить уравнение: 1) (х + 10) · (x - 7) = 0; 2) (13 - х) · (12 + х) = 0;


Ниже вариант решения задания из учебника Колягин, Ткачёва, Фёдорова 7 класс, Просвещение:
Решить уравнение:
1) (х + 10) · (x - 7) = 0;
2) (13 - х) · (12 + х) = 0;
3) (30 - х) · (х + 15) · (х - 22) = 0.
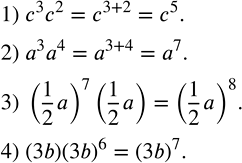
Записать произведение в виде степени:
1) c^3 c^2;
2) a^3 a^4;
3) (1/2 a)^7 (1/2 a);
4) (3b) (3b)^6.
