Упражнение 2 ГДЗ Колягин Ткачёва 7 класс (Алгебра)
Представить в виде суммы разрядных слагаемых число: 1) 3 025 604; 2) 5 006 020 500; 3) 80 040 106 090.


Ниже вариант решения задания из учебника Колягин, Ткачёва, Фёдорова 7 класс, Просвещение:
Представить в виде суммы разрядных слагаемых число:
1) 3 025 604; 2) 5 006 020 500; 3) 80 040 106 090.
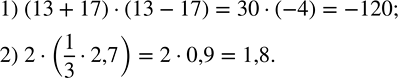
Записать в виде числового выражения:
1) произведение суммы и разности чисел 13 и 17;
2) удвоенное произведение чисел 1/3 и 2,7.
