Упражнение 7 ГДЗ Колягин Ткачёва 7 класс (Алгебра)
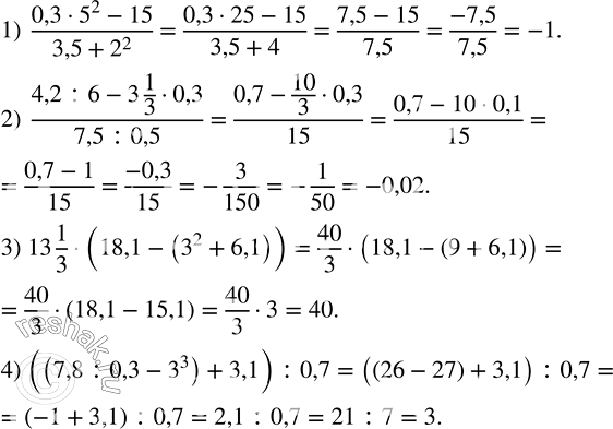
Используя по одному разу цифры 0, 1, 2, 3 и 4, записать наименьшее пятизначное число. Выполнить действия: 1) (0,3•5^2-15)/(3,5+2^2 ); 2) (4,2:6-3 1/3•0,3)/(7,5:0,5);


Ниже вариант решения задания из учебника Колягин, Ткачёва, Фёдорова 7 класс, Просвещение:
Используя по одному разу цифры 0, 1, 2, 3 и 4, записать наименьшее пятизначное число.
Выполнить действия:
1) (0,3•5^2-15)/(3,5+2^2 );
2) (4,2:6-3 1/3•0,3)/(7,5:0,5);
3) 13 1/3•(18,1-(3^2+6,1));
4) ((7,8:0,3-3^3 )+3,1) :0,7.
