Упражнение 5 ГДЗ Колягин Ткачёва 7 класс (Алгебра)
С помощью двойного неравенства записать результат сравнения трёх чисел: 1) 386, 95 и 368; 2) 429, 435 и 421; 3) 7096, 7009 и 7195.


Ниже вариант решения задания из учебника Колягин, Ткачёва, Фёдорова 7 класс, Просвещение:
С помощью двойного неравенства записать результат сравнения трёх чисел:
1) 386, 95 и 368; 2) 429, 435 и 421; 3) 7096, 7009 и 7195.
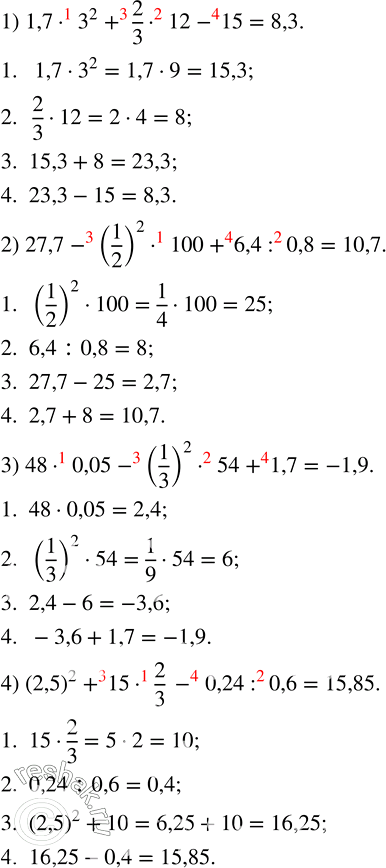
Указать порядок выполнения действий и вычислить:
1) 1,7•3^2+2/3•12-15;
2) 27,7-(1/2)^2•100+6,4:0,8;
3) 48•0,05-(1/3)^2•54+1,7;
4) (2,5)^2+15•2/3-0,24:0,6.
