Упражнение 6 ГДЗ Колягин Ткачёва 7 класс (Алгебра)
Расположить в порядке убывания числа: 1) 46 235, 4703, 46 241, 4939; 2) 25 006, 125 004, 124 938, 125 040.


Ниже вариант решения задания из учебника Колягин, Ткачёва, Фёдорова 7 класс, Просвещение:
Расположить в порядке убывания числа:
1) 46 235, 4703, 46 241, 4939;
2) 25 006, 125 004, 124 938, 125 040.
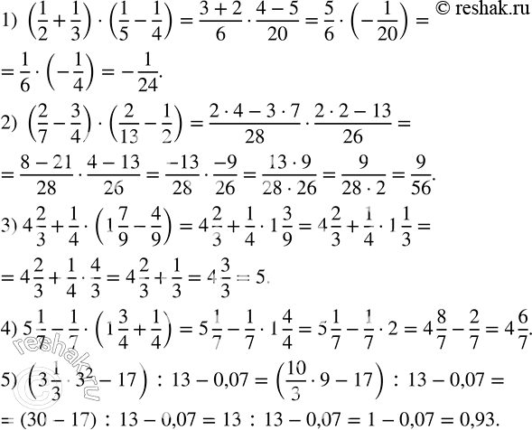
Найти значение числового выражения:
1) (1/2+1/3)•(1/5-1/4);
2) (2/7-3/4)•(2/13-1/2);
3) 4 2/3+1/4•(1 7/9-4/9);
4) 5 1/7-1/7•(1 3/4+1/4);
5) (3 1/3•3^2-17) :13-0,07.
