Упражнение 318 ГДЗ Колягин Ткачёва 7 класс (Алгебра)
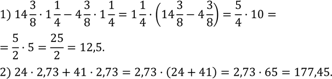
Ребро куба равно k сантиметров. Записать формулы площади его поверхности S объема V.Применить распределительный закон умножения и вычислить: 1) 14 3/8•1 1/4-4 3/8•1 1/4;


Ниже вариант решения задания из учебника Колягин, Ткачёва, Фёдорова 7 класс, Просвещение:
Ребро куба равно k сантиметров. Записать формулы площади его поверхности S объема V.
Применить распределительный закон умножения и вычислить:
1) 14 3/8•1 1/4-4 3/8•1 1/4;
2) 24•2,73+41•2,73.
