Упражнение 313 ГДЗ Колягин Ткачёва 7 класс (Алгебра)
Выполнить действия: 1) 12•?10?^2-5^3•10; 2) 9^2•2+200•(0,1)^2; 3) (1/3)^4•27+(0,1)^5•50 000; 4) ?10?^3 :40-(1/4)^3•128. Доказать, что если 2(a+1)(b+1)=(a+b)(a+b+2),то a^2+b^2=2. *Цитирирование задания со ссылкой на учебник производится исключительно в учебных целях для лучшего понимания разбора решения задания.


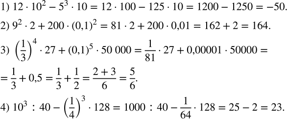
Ниже вариант решения задания из учебника Колягин, Ткачёва, Фёдорова 7 класс, Просвещение:
Выполнить действия:
1) 12•?10?^2-5^3•10;
2) 9^2•2+200•(0,1)^2;
3) (1/3)^4•27+(0,1)^5•50 000;
4) ?10?^3 :40-(1/4)^3•128.
Доказать, что если 2(a+1)(b+1)=(a+b)(a+b+2),то a^2+b^2=2.
