Упражнение 319 ГДЗ Колягин Ткачёва 7 класс (Алгебра)
Записать: 1) квадрат числа m; 2) куб числа a; 3) квадрат суммы чисел c и 3; 4) сумму квадратов чисел c и 3.Вынести за скобки общий множитель:


Ниже вариант решения задания из учебника Колягин, Ткачёва, Фёдорова 7 класс, Просвещение:
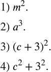
Записать:
1) квадрат числа m;
2) куб числа a;
3) квадрат суммы чисел c и 3;
4) сумму квадратов чисел c и 3.
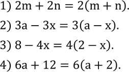
Вынести за скобки общий множитель:
1) 2m+2n;
2) 3a-3x;
3) 8-4x;
4) 6a+12.
