Упражнение 323 ГДЗ Колягин Ткачёва 7 класс (Алгебра)
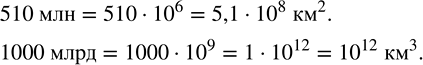
Поверхность земного шара составляет более 510 млн км^2, объем Земли свыше 1000 млрд км^3. Записать данные числа в стандартном виде.Вынести за скобки общий множитель:


Ниже вариант решения задания из учебника Колягин, Ткачёва, Фёдорова 7 класс, Просвещение:
Поверхность земного шара составляет более 510 млн км^2, объем Земли свыше 1000 млрд км^3. Записать данные числа в стандартном виде.
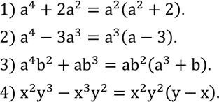
Вынести за скобки общий множитель:
1) a^4+2a^2;
2) a^4-3a^3;
3) a^4 b^2+ab^3;
4) x^2 y^3-x^3 y^2.
