Упражнение 324 ГДЗ Колягин Ткачёва 7 класс (Алгебра)
В 1 л морской воды в среднем содержится 0,00001 мг золота. Сколько золота содержится в 1 км^3 морской воды?Вынести за скобки общий множитель:


Ниже вариант решения задания из учебника Колягин, Ткачёва, Фёдорова 7 класс, Просвещение:
В 1 л морской воды в среднем содержится 0,00001 мг золота. Сколько золота содержится в 1 км^3 морской воды?
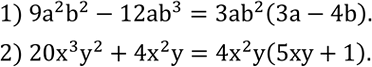
Вынести за скобки общий множитель:
1) 9a^2 b^2-12ab^3;
2) 20x^3 y^2+4x^2 y.
