Упражнение 478 ГДЗ Колягин Ткачёва 7 класс (Алгебра)
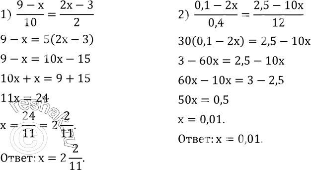
Решить уравнение: 1) (9-x)/10=(2x-3)/2; 2) (0,1-2x)/0,4=(2,5-10x)/12. Найти значение выражения: 1) (8a^2)/(a^3-1)+(a+1)/(a^2+a+1) при a=2; 2) (3c^2-c+8)/(c^3-1)-(c-1)/(c^2+c+1)+2/(1-c) при c=1 1/2. *Цитирирование задания со ссылкой на учебник производится исключительно в учебных целях для лучшего понимания разбора решения задания.


Ниже вариант решения задания из учебника Колягин, Ткачёва, Фёдорова 7 класс, Просвещение:
Решить уравнение:
1) (9-x)/10=(2x-3)/2;
2) (0,1-2x)/0,4=(2,5-10x)/12.
Найти значение выражения:
1) (8a^2)/(a^3-1)+(a+1)/(a^2+a+1) при a=2;
2) (3c^2-c+8)/(c^3-1)-(c-1)/(c^2+c+1)+2/(1-c) при c=1 1/2.
