Упражнение 479 ГДЗ Колягин Ткачёва 7 класс (Алгебра)
Упростить (n - натуральное число, n>4): 1) (12•5^(2n+1)-8•5^2n+4•5^(2n-1) ) :(4•5^(2n-2) ); 2) (36•?18?^n-8•2^(n-4)•9^n-3^(n+1)•6^(n+1) ) :?18?^(n-1). Упростить выражение, если n - натуральное число:


Ниже вариант решения задания из учебника Колягин, Ткачёва, Фёдорова 7 класс, Просвещение:
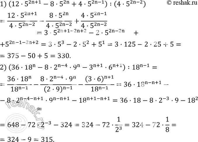
Упростить (n - натуральное число, n>4):
1) (12•5^(2n+1)-8•5^2n+4•5^(2n-1) ) :(4•5^(2n-2) );
2) (36•?18?^n-8•2^(n-4)•9^n-3^(n+1)•6^(n+1) ) :?18?^(n-1).
Упростить выражение, если n - натуральное число:
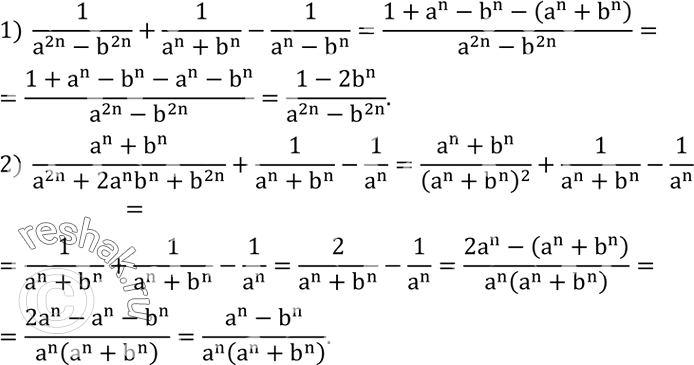
1) 1/(a^2n-b^2n )+1/(a^n+b^n )-1/(a^n-b^n );
2) (a^n+b^n)/(a^2n+2a^n b^n+b^2n )+1/(a^n+b^n )-1/a^n .
